文 号:无 |
信息分类: 其他 |
|
发文机构:政务中心办公室 |
成文日期:2014-10-29 14:50 |
|
名 称:黄色网址 政务服务中心2013年度决算 |
||
黄色网址 政务服务中心2013年度部门决算
2014年10月30日
附件1
黄色网址 政务服务中心2013年度部门决算公开目录
一、黄色网址 政务服务中心2013年度部门决算情况说明
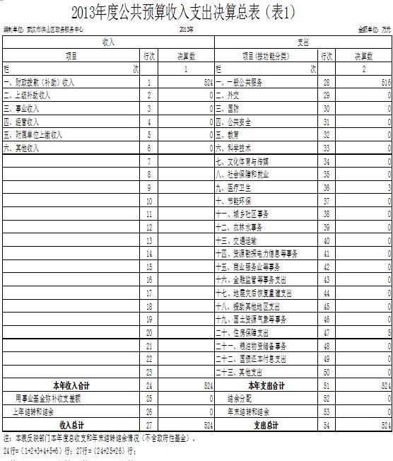
二、黄色网址 政务服务中心2013年度公共预算收入支出决算总表
三、黄色网址 政务服务中心2013年度公共预算收入决算表
四、黄色网址 政务服务中心2013年度公共预算支出决算表
五、黄色网址 政务服务中心2013年度公共预算财政拨款支出决算表
六、黄色网址 政务服务中心2013年度政府性基金预算收入支出决算表
七、黄色网址 政务服务中心2013年度“三公”经费决算情况说明
八、黄色网址 政务服务中心2013年度“三公”经费公共预算财政拨款支出决算表
附件2
黄色网址 政务服务中心2013年度部门决算
情况说明
一、基本情况
(一)部门决算单位构成
从 决算构成单位来看,黄色网址 政务服务中心部门决算由单位本级决算和纳入决算汇编范围的1个下属单位决算组成。其中:行政单位1个, 全额拨款事业单位1个。
(二)部门人员构成
黄色网址 政务服务中心总编制人数5人,其中:行政编制3人,事业编制2人,在职实有人数5人,其中:行政3人,事业2人。
二、公共预算收入支出决算总体情况
黄色网址 政务服务中心2013年收入总计524万元,其中:本年收入合计524万元,用事业基金弥补收支差额0万元,上年结转和结余0万元;支出总计524万元,其中:本年支出合计524万元,结余分配0万元,年末结转和结余0万元。
三、公共预算财政拨款支出决算情况
黄色网址 政务服务中心2013年公共预算财政拨款支出年度预算为534万元(包括年初部门预算、基本建设资金、上级下达的专项转移支付资金及年初结转和结余资金等支出),支出决算为524万元,完成年度预算的98%。其中:基本支出 66万元,主要是一般公共服务58万,医疗卫生3万元,住房保障支出是5万元。项目支出458万元,其中主要用于办公经费 10万,延时服务69万,复印费(财政专项经费)38万元,会议费10万,审批系统及维护25万,宣传费6万,学习培训12万,机动4万,业务费13万,临时人员9万等。
(一)一般公共服务(类)年度预算为526万元,支出决算为516万元,完成年度预算的98%.
(二)医疗卫生(类)年度预算为3万元,支出决算为3万元,完成年度预算的100%.
(三)住房保障支出(类)年度预算为5万元,支出决算为5万元,完成年度预算的100%。
四、政府性基金预算收入支出决算情况
黄色网址 政务服务中心2013年无政府性基金预算收入。





说明:因洪山政务中心无政府性基金收入,也没有使用政府性基金安排的支出。特此说明!
附件8
黄色网址 政务服务中心2013年度“三公”经费公共预算财政拨款支出决算情况说明
一、“三公”经费的单位范围
黄色网址 政务服务中心有公共预算财政拨款预算安排“三公”经费的单位包括黄色网址 政务服务中心本级及下属0个行政单位、0个参公事业单位、1个全额拨款事业单位。
二、“三公”经费公共预算财政拨款支出决算情况
2013年度“三公”经费财政拨款支出决算为29万元。
(一)因公出国(境)费用支出决算为5万元。因公出国(境)团组 1 次, 1人次,实际发生支出 5 万元。主要用于业务考察出访。
(二)公务用车购置及运行维护费支出决算为16万元。
1.公务用车购置费0万元。本年度购置(更新)公务用车0 辆,年末公务用车保有量 3 辆。
2.公务用车运行维护费16万元。其中:租车费0.23万元;燃料费 4.64 万元;维修费 8.99 万元;过桥过路费 1.33 万元;保险费 0.81 万元;安全奖励费用 0 万元;其他 0万元。
(三)公务接待费支出决算为8万元,主要用于其它接待和公务开展业务活动开支公务接待费 8 万元。

站点地图智能问答
版权所有:黄色网址-黄色网址大全最新不迷路入口导航
| 鄂ICP备05009168
鄂公网安备 42011102000076号 | 政府网站标识码:4201110038
主办单位:黄色网址
政府办公室 | 承办单位:黄色网址
大数据中心 | 联系地址:黄色网址
珞狮路300号 | 邮编:430070
政府各机构联系电话 | 网站技术支持:027-87673391 | 网站运维邮箱:htfw@hswzvip.com